3442: 【2024年5月】7级算法等考第2题 最小点集
文件提交:无需freopen
内存限制:256 MB
时间限制:1.000 S
评测方式:普通裁判
金币值:
命题人:
1
提交:4
解决:0
题目描述
## Description
给定包含n个顶点,m条边的有向无环图,顶点编号从1到n,如果想要访问图中的所有顶点,请问至少需要以哪些点作为起点开始遍历。
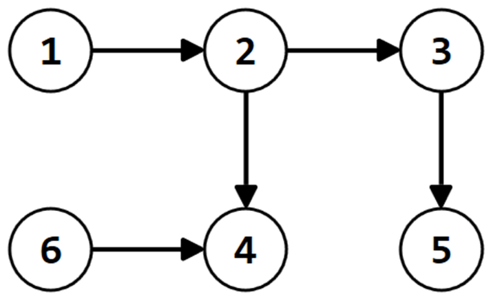
例如:n = 6,m = 5;有向无环图如下所示:

至少需要以1点和6点作为起点,才能访问到所有的点。
## Input Format
第一行包含两个整数n,m,分别表示顶点的数量以及边数,整数之间以一个空格隔开;
接下来m行,每行包含两个整数x,y,表示有一条有向边由顶点x指向顶点y,整数之间以一个空格隔开;
数据范围
测试点1~10:1≤n,m≤105,1≤x,y≤n。
## Output Format
一行包含若干个整数,表示至少要以哪些点作为起点,才能访问到所有顶点。结果按照顶点编号从小到大输出,整数之间以一个空格隔开。
```input1
6 5
1 2
2 3
2 4
3 5
6 4
```
```output1
1 6
```
```input2
5 5
1 2
2 5
3 2
3 5
4 2
```
```output2
1 3 4
```